Karbohidrat Lazim dan Sifat Fisisnya
Pengertian karbohidrat
karbohidrat adalah polihidroksil-aldehida atau polihidroksil-keton, atau senyawa yang menghasilkan senyawa-senyawa ini bila dihidrolisis. Karbohidrat mengandung gugus fungsi karbonil (sebagai aldehida atau keton) dan banyak gugus hidroksil. Pada awalnya, istilah karbohidrat digunakan untuk golongan senyawa yang mempunyai rumus (CH2O)n, yaitu senyawa-senyawa yang n atom karbonnya tampak terhidrasi oleh n molekul air.
Namun, terdapat pula karbohidrat yang tidak memiliki rumus demikian struktur pula yang mengandung nitrogen, fosforus, atau sulfur. Bentuk molekul karbohidrat paling sederhana terdiri dari satu molekul gula sederhana yang disebut monosakarida, misalnya glukosa, galaktosa, dan fruktosa. Banyak karbohidrat merupakan polimer yang tersusun dari molekul gula yang terangkai menjadi rantai yang panjang serta dapat pula bercabang-cabang, disebut polisakarida, misalnya pati, kitin, dan selulosa. Selain monosakarida dan polisakarida, terdapat pula disakarida (rangkaian dua monosakarida) dan oligosakarida (rangkaian beberapa monosakarida).
Jenis – Jenis karbohidrat
Zat Karbohidrat merupakan sumber struktur utama bagi tubuh. Jika kebutuhan akan karbohidrat tidak terpenuhi, maka fungsi karbohidrat akan diambil alih oleh protein yang menyebabkan kinerja protein menjadi kurang optimal. Karbohidrat tersedia dalam jumlah yang melimpah di muka bumi. Zat karbohidrat merupakan nutrisi yang penting bagi tubuh. Dewasa ini banyak orang yang menghindari makan yang mengandung karbohidrat demi struktur kesehatan. Tentu saja karena tidak semua jenis karbohidrat baik dikonsumsi apalagi dalam jumlah yang berlebihan. Berdasarkan panjang rantai karbonnya, karbohidrat dibagi menjadi tiga kelompok yaitu :
1.) Monosakarida
Monosakarida merupakan karbohidrat paling sederhana karena molekulnya hanya terdiri atas beberapa atom C dan tidak dapat diuraikan dengan cara hidrolisis menjadi karbohidrat yang lain. Monosakarida di klasifikasikan menjadi 6 jenis, yaitu: Diosa (C2H4O2), Triosa (C3H6O3), Tetrosa (C4H8O4), Pentosa (C5H10O5), Heksosa (C6H12O6), dan Heptosa (C7H14O7) . Namun sebagian besar monosakarida yang dikenal dalam kehidupan sehari-hari adalah dari kelompok Heksosa dan Pentosa.
- Glukosa
Glukosa adalah salah satu karbohidrat terpenting yang digunakan sebagai sumber tenaga bagi hewan dan tumbuhan. Glukosa merupakan salah satu hasil utama fotosintesis dan awal bagi respirasi. Glukosa merupakan komponen utama gula darah, menyusun 0,065- 0,11% darah kita. Glukosa dapat terbentuk dari hidrolisis pati, glikogen, dan struktur. Glukosa sangat penting bagi kita karena sel tubuh kita menggunakannya langsung untuk menghasilkan 4truct. Glukosa dapat dioksidasi oleh zat pengoksidasi lembut seperti pereaksi Tollens sehingga sering disebut sebagai gula pereduksi.
Glukosa (C6H12O6, berat molekul 180.18) adalah heksosa, monosakarida yang mengandung enam atom karbon. Glukosa merupakan aldehida (mengandung gugus – CHO). Lima karbon dan satu oksigennya membentuk cincin yang disebut ―cincin piranosa‖, bentuk paling stabil untuk struktur berkabon enam. Dalam cincin ini, tiap karbon terikat pada gugus samping hidroksil dan struktur kecuali atom kelimanya, yang terikat pada atom karbon keenam di luar cincin, membentuk suatu gugus CH2OH. Struktur cincin ini berada dalam kesetimbangan dengan bentuk yang lebih reaktif, yang proporsinya 0.0026% pada pH 7.
- Galaktosa
Galaktosa merupakan suatu aldoheksosa. Monosakarida ini jarang terdapat bebas di alam. Umumnya berikatan dengan glukosa dalam bentuk laktosa, yaitu gula yang terdapat dalam susu. Galaktosa mempunyai rasa kurang manis jika dibandingkan dengan glukosa dan kurang larut dalam air. Seperti halnya glukosa, galaktosa juga merupakan gula pereduksi. Glukosa dan galaktosa bereaksi positif terhadap Larutan fehling, yaitu dengan menghasilkan endapan merah bata dari Cu2O.
- Fruktosa
Fruktosa adalah suatu heksulosa, disebut juga levulosa karena memutar bidang polarisasi ke kiri. Merupakan satu-satunya heksulosa yang terdapat di alam. Fruktosa murni rasanya sangat manis, warnanya putih, berbentuk struktur padat, dan sangat mudah larut dalam air. Fruktosa merupakan gula termanis, terdapat dalam madu dan buah-buahan bersama glukosa. Di tanaman, fruktosa dapat berbentuk monosakarida dan/atau sebagai komponen dari sukrosa. Sukrosa merupakan molekul disakarida yang merupakan gabungan dari satu molekul glukosa dan satu molekul fruktosa. Sama seperti glukosa, fruktosa adalah suatu gula pereduksi.
- Manosa
Manosa adalah gula aldehida yang dihasilkan dari oksidasi manitol dan memiliki sifat-sifat umum yang serupa dengan glukosa. Manosa, jarang terdapat di dalam makanan. Di gurun pasir, seperti di Israel terdapat di dalam manna yang mereka olah untuk membuat roti.
- Ribosa
Ribosa adalah gula struktur yang ditemukan dalam semua sel tumbuhan dan hewan dalam bentuk furanosa. Ribosa merupakan komponen RNA yang digunakan untuk transkripsi genetika. Selain itu Ribosa juga berhubungan erat dengan deoksiribosa, yang merupakan komponen dari DNA. Ribosa juga meupakan komponen dari ATP, NADH, dan beberapa kimia lainnya yang sangat penting bagi struktural.
- Xilosa
Xilosa suatu gula struktur, yaitu monosakarida dengan lima atom karbon dan memiliki gugus aldehida. Gula ini diperoleh dengan menguraikan jerami atau serat nabati lainnya dengan cara memasaknya dengan asam sulfat encer. Xilosa berbentuk serbuk hablur tanpa warna yang digunakan dalam penyamakan dan pewarnaan dan dapat juga digunakan sebagai bahan pemanis untuk penderita kencing manis (diabetes mellitus).
- Arabinosa
Arabinosa disebut juga gula 6truct atau pektinosa. Arabinosa bersumber dari Getah Arab , Plum, dan Getah Ceri , namun tidak memiliki fungsi Fisiologis. Arabinosa berupa struktur putih yang larut dalam air dan gliserol namun tidak larut dalam alkohol dan eter. Arabinosa digunakan dalam obat-obatan dan medium pembiakan bakteri. Arabisa dalam reaksi Orsinol – HCl memberi warna : Violet , Biru , dan Merah , dengan memberi Floroglusional- HCl.
2.) Oligosakarida Dan Disakarida
Oligosakarida adalah karbohidrat yang merupakan gabungan 2 – 8 satuan monosakarida. Penyatuan antar molekul monosakarida dilakukan oleh sebuah ikatan yang disebut ikatan glikosidik. Olisakarida dapat dijumpai dalam bentuk disakarida dan trisakarida. Kebanyak ditemukan dari hasil hidrolisa (Pemecahan) polisakarida, dan hanya sedikit yang terbentuk secara alami di alam. Olisakarida yang paling banyak terdapat dalam bentuk disakarida, seperti sukrosa dan struktur.
Disakarida adalah karbohidrat yang tersusun dari 2 molekul monosakarida, yang dihubungkan oleh ikatan glikosida. Ikatan glikosida terbentuk antara atom C 1 suatu monosakarida dengan atom O dari OH monosakarida lain. Hidrolisis 1 mol disakarida akan menghasilkan 2 mol monosakarida. Berikut ini beberapa disakarida yang banyak terdapat di alam.
- Maltosa
Maltosa atau gula gandum, adalah disakarida yang terbentuk dari dua unit glukosa bergabung dengan ikatan α(1 → 4), terbentuk dari reaksi kondensasi. Para isomaltose isomer memiliki dua molekul glukosa dihubungkan melalui ikatan α(1 → 6).
Maltosa adalah anggota kedua dari seri biokimia penting dari rantai glukosa. Maltosa adalah disakarida dihasilkan ketika struktur memecah pati. Hal ini ditemukan dalam biji berkecambah seperti gandum. Hal ini juga dihasilkan ketika glukosa terbakar. Maltosa dapat dipecah menjadi dua molekul glukosa dengan hidrolisis.
Dalam organisme hidup, enzim maltase dapat mencapai ini dengan sangat cepat. Di laboratorium pemanasan dengan asam yang kuat untuk beberapa menit akan mendapatkan hasil yang sama. Maltosa memiliki rasa yang manis, sekitar setengahnya glukosa dan sekirat seperenam manisnya fruktosa.
- Sukrosa
Sukrosa merupakan suatu disakarida yang dibentuk dari monomer-monomernya yang berupa unit glukosa dan fruktosa, dengan rumus molekul C12H22O11. Senyawa ini dikenal sebagai sumber nutrisi serta dibentuk oleh tumbuhan, tidak oleh organisme lain seperti hewan. Sukrosa terdapat dalam gula tebu dan gula bit. Dalam kehidupan sehari-hari sukrosa dikenal dengan gula pasir. Sukrosa tersusun oleh molekul glukosa dan fruktosa yang dihubungkan oleh ikatan 1,2 –α. Sukrosa terhidrolisis oleh enzim invertase menghasilkan α-D-glukosa dan β-D-fruktosa.
Campuran gula ini disebut gula inversi, lebih manis daripada sukrosa. Jika kita perhatikan strukturnya, karbon anomerik (karbon karbonil dalam monosakarida) dari glukosa maupun fruktosa di dalam air tidak digunakan untuk berikatan sehingga keduanya tidak memiliki gugus hemiasetal. Akibatnya, sukrosa dalam air tidak berada dalam kesetimbangan dengan bentuk aldehid atau keton sehingga sukrosa tidak dapat dioksidasi. Sukrosa bukan merupakan gula pereduksi.
- Laktosa
Laktosa adalah bentuk disakarida dari karbohidrat yang dapat dipecah menjadi bentuk lebih sederhana yaitu galaktosa dan glukosa. Laktosa ada di dalam kandungan susu, baik pada air susu ibu maupun susu struktur merupakan 2-8 persen bobot susu keseluruhan. Mempunyai rumus kimia C12H22O11.
3.) Polisakarida
Polisakarida adalah molekul karbohidrat polimerik yang tersusun atas rantai monosakarida yang panjang dan terikat oleh ikatan glikosidik. Polisakarida merupakan suatu makromolekul (molekul besar). Jika polisakarida mengalami hidrolisis, maka akan menghasilkan monosakarida dan disakarida.
Polisakarida seringkali bersifat heterogen, mengandung sedikit modifikasi unit berulangnya. Makromolekul ini dapat memiliki sifat yang berbeda dari para penyusunnya, tergantung pada struktur. Polisakarida dapat bersifat amorf (berbentuk tak beraturan). Beberapa polisakarida bahkan tidak larut dalam air. Polisakarida mengandung lebih dari sepuluh unit monosakarida. Pengkategorian karbohidrat masuk ke dalam oligosakarida atau polisakarida memang terkadang bias, dan itu tergantung dari pendapat masing-masing ahli biokimia.
Rumus Umum Polisakarida Sakarida alami umumnya berupa karbohidrat sederhana yang disebut monosakarida dengan rumus umum (CH2O)n dimana n adalah tiga atau lebih. Contoh monosakarida adalah glukosa, fruktosa, da, galaktosa. Sedangkan polisakarida memiliki rumus umum Cx(H2o)y dimana x biasanya antara 200 dan 2500.
Mengingat bahwa unit berulang dalam ranai polimer sebagian besar adalah monosakarida enam karbon, rumus umum polisakarida juga dapat direpresentasikan sebagai (C6H10O5)n dimana 40<n<3000.Jenis-jenis Polisakarida Polisakarida dapat diklasifikasikan menjadi dua jenis, yaitu polisakarida penyimpanan dan polisakarida struktural. Berikut adalah beberapa contoh polisakarida :
a.) Polisakarida penyimpanan
- Pati (Amilosa)
Pati adalah polimer glukosa dimana unit glukopiranosa terikat oleh ikatan alfa. Pati tersusun atas campuran amilosa (15-20%) dan amilopektin (80-85%). Amilosa terdiri dari rantai linier dari beberapa ratus molekul glukosa, sedangkan amilopektin adalah molekul bercabang yang terdiri dari beberapa ribu unit glukosa(setiap rantai 24-30 unit glukosa merupakan satu unit amilopektin).
Pati tidak larut dalam air. Pati dapat dicerna oleh organisme yang dapat mematahkan ikatan alfa (glikosidik). Manusia dan hewan memiliki amilase, sehingga bisa mencerna pati, kentang, beras, gandum, dan jagung merupakan sumber utama pati dalam makanan manusia.
- Glikogen
Glikogen berfungsi sebagai cadangan energi jangka panjang pada hewan. Glikogen merupakan energi primer yang disimpan di jaringan adiposa. Glikogen dibuat oleh hati dan otot, tetapi juga dapat dibuat melalui glikogenesis dalam otak dan perut. Glikogen merupakan analog dari pati. Glikogen memiliki struktur yang mirip dengan amilopektin tetapi lebih bercabang dan rapi daripada pati. Glikogen merupakan polimer dari α(1→4) ikatan glikosidik, dengan α(1→6) cabang yang terhubung.
Glikogen ditemukan dalam bentuk butiran dalam sitosol/sitoplasma di banyak jenis sel, dan memainkan peran penting dalam siklus glukosa. Glikogen membentuk energi cadangan yang dapat dengan cepat dimobilisasi untuk memenuhi kebutuhan glukosa mendadak. Glikogen lebih cepat tersedia sebagai cadangan energi daripada trigliserida (lemak)
b.) Polisakarida struktural
- Selulosa
Komponen struktural tanaman kebanyakan terbentuk dari selulosa. Kandungan kayu sebagian besar adalah selulosa dan lignin, sedangkan kertas dan kapas adalah selulosa hampir murni. Selulosa adalah polimer yang dibuat dari unit glukosa berulang disatukan oleh ikatan beta. Manusia tidak mempunyai enzim untuk memecah selulosa, karena ada bakteri yang menghasilkan glukosa. Selulosa adalah karbohidrat paling melimpah di alam.
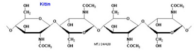
- Kitin
Kitin merupakan salah satu polimer alam. Kitin membentuk komponen struktural banyak hewan. Kitin dapat diuraikan secara alami, namun membutuhkan waktu cukup lama. Kitin dapt dipecah oleh enzim yang diuraikan secara alami, namun membutuhkan waktu cukup lama. Kitin dapat dipecah oleh enzim yang disebut kitinase. Kitinase disekresikan oleh mikroorganisme seperti bakteri dan jamur, dan diproduksi oleh beberapa tanaman. Secara kimia, kitin berkaitan erat dengan kitosan. Kitosan adalah turunan kitin yang lebih larut di dalam air. Kitin juga terkait erat dengan selulosa rantai panjang bercabang turunan glukosa.
- Pektin
Baca juga : Buku Guru dan Siswa PJOK Kelas 9 Revisi 2018
















Posting Komentar untuk "Karbohidrat Lazim dan Sifat Fisisnya"